반응형
2025년 공무원 봉급표 2025 호봉표 분석


1. 서론
2025년 공무원 봉급표는 새롭게 개정된 공무원보수규정을 기반으로 설계되었으며, 물가 상승률과 경제 안정성을 반영하여 평균 3%의 인상률을 적용했다. 특히 저연차 공무원(7~9급)에 대한 추가 인상률이 적용되어, 사회 초년생 공무원의 생활 안정과 공직 입문의 유인을 강화하는 정책이 도입되었다. 본 연구는 2025년 공무원 봉급표의 구조 및 주요 특징을 분석하고, 직급 및 호봉별 상세 내용을 살펴보는 데 목적이 있다.
2. 2025년 공무원 봉급표의 주요 구성 요소

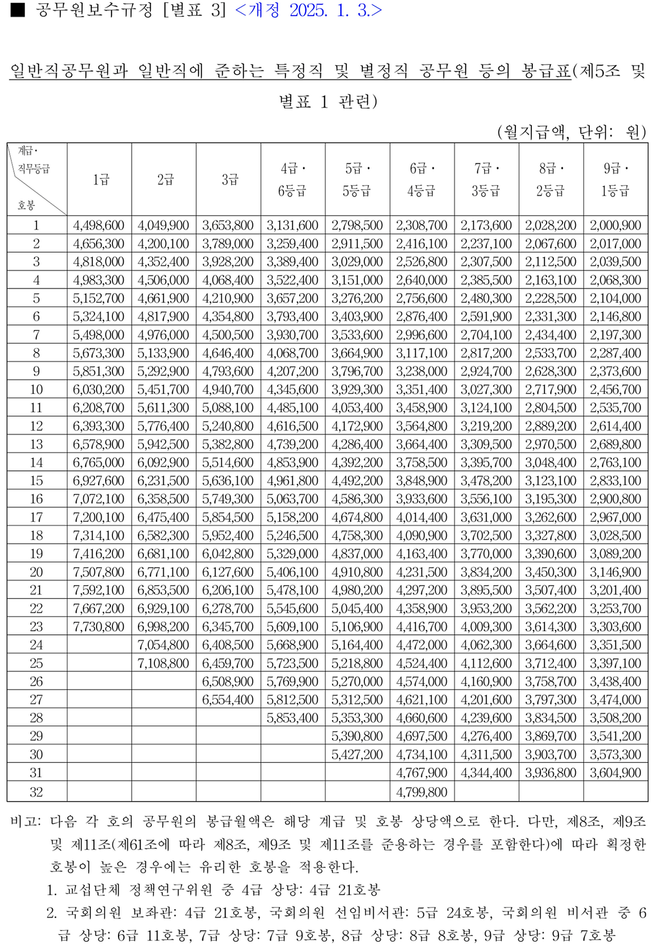
- 직급 및 호봉 체계
- 공무원은 1급에서 9급까지 9개 등급으로 분류됨.
- 각 등급은 최저 1호봉부터 최고 32호봉(일부 직급은 23~27호봉)까지 구성됨.
- 상위 직급일수록 최고 호봉이 낮아지는 구조를 가짐.
- 평균 및 추가 인상률
- 평균 인상률: 3%
- 7~9급 공무원(특히 9급 1호봉)은 기본 3%에 추가 3.6%가 더해져 총 6.6% 인상.
- 직급별 봉급 범위 (일부 발췌)
- 9급: 2,000,900원(1호봉) ~ 3,604,900원(31호봉)
- 6급: 2,308,700원(1호봉) ~ 4,799,800원(32호봉)
- 3급: 3,653,800원(1호봉) ~ 6,554,400원(27호봉)
- 1급: 4,498,600원(1호봉) ~ 7,730,800원(23호봉)
3. 직급 및 호봉별 상세 분석
- 호봉 간 인상률: 초기에는 빠르게 증가하나, 후반부에서는 안정화되는 패턴을 보임.
- 직급 간 월급 비교: 공무원의 책임과 직무 난이도를 고려한 차등 보상 체계 유지.
- 예) 9급 1호봉(2,000,900원) vs. 1급 1호봉(4,498,600원) → 약 2.25배 차이.
4. 기타 공무원 직군 봉급표
- 교육 공무원 봉급표

- 유치원, 초·중·고 교원 포함.
- 시간제 교원의 경우 근무 시간에 비례하여 봉급 산정.
- 2025년 교원 근가호봉: 78,300원.
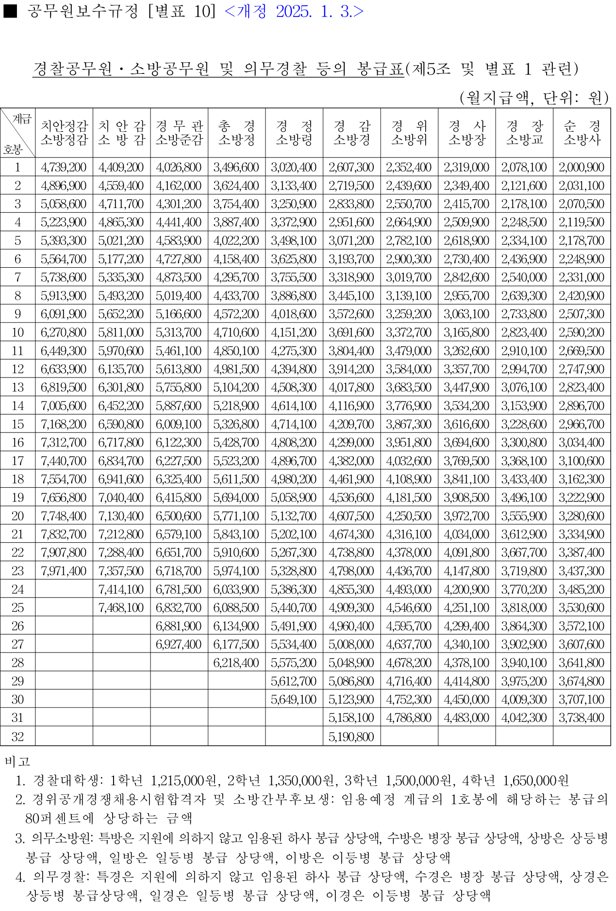
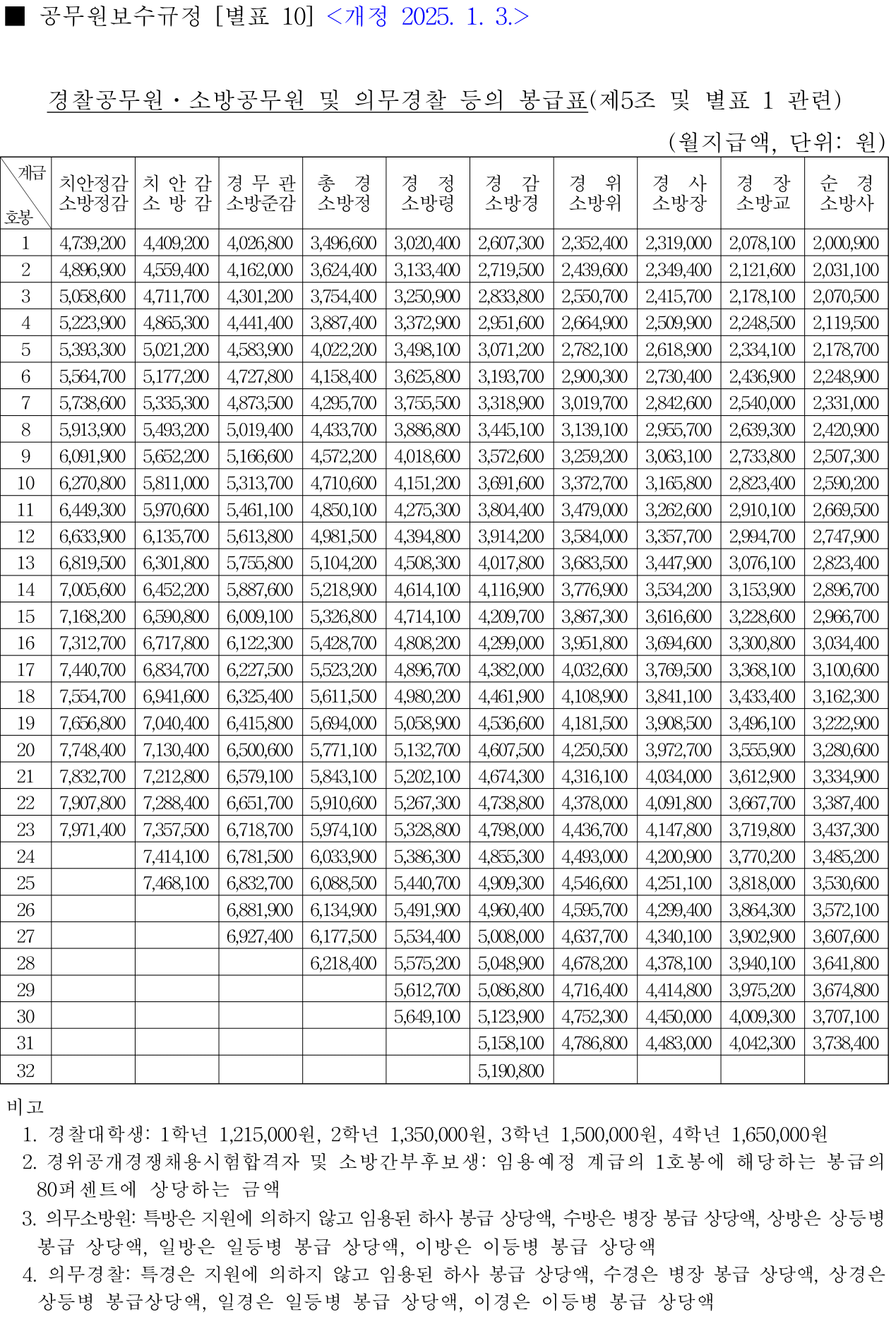
- 경찰 및 소방공무원 봉급표

- 경찰대학생: 학년별 월 1,215,000원 ~ 1,650,000원.
- 의무경찰 및 의무소방원: 병사 계급에 따라 월 750,000원 ~ 1,500,000원.
- 군인 봉급표

- 대장 월급: 9,293,500원 (최고 수준).
- 사관생도 월급: 1학년 1,215,000원 → 4학년 1,650,000원.
- 병사 월급: 이등병 750,000원 → 병장 1,500,000원.





5. 결론
2025년 공무원 봉급표 개정은 물가 상승 및 경제 안정성을 고려하여 조정되었으며, 특히 저연차 공무원에게 추가 인상률을 적용하여 공직 진입 장벽을 낮추고 생활 안정성을 높이는 방향으로 설계되었다. 직급과 호봉별 인상률 패턴은 공무원의 경력 발전을 반영하며, 교원·경찰·군인 등의 공무원 직군도 세분화된 보수 체계를 유지하고 있다. 향후 공무원 보수 정책의 지속적인 개선이 필요하며, 특히 중·고위급 공무원의 보수 현실화 방안과 직급 간 보상 격차 조정이 주요 과제가 될 것이다.












반응형